If you can get this problem, you have mastered 2D kinematics
1. A basketball player who is standing 15 feet away from a basketball hoop is trying to make a basket. If the height of the hoop is 10 feet, and the height at which the player shoots the ball is 6 feet, at what angle and with what speed should the player shoot the ball?
1. A basketball player who is standing 15 feet away from a basketball hoop is trying to make a basket. If the height of the hoop is 10 feet, and the height at which the player shoots the ball is 6 feet, at what angle and with what speed should the player shoot the ball?
STEP 1: Find the amount of time required:
This gives me two possible solutions for time

Note that these two times will be the exact
same time if the root is zero. IF:
However, if the root is rational and
greater than zero, t2 will be the shorter time. This is the point
when the ball is moving upward past the hoop, and therefore cannot be the time
when the ball sinks into the basket from above. Therefore we will use t1
for the rest of the solution.
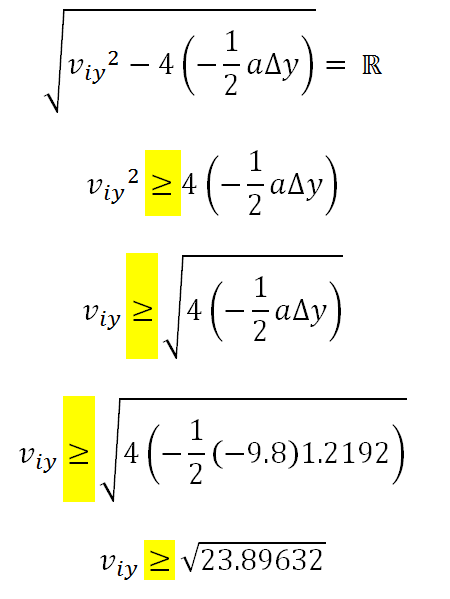
Note that, for “t” to be a real number, viy2 must be larger than or equal to 4(1/2)(a)(Δy)
this will keep the root rational.. You can actually use this reasoning to see that any initial velocity in the “y” direction greater than or equal to 4.888386 will work for viy
Note that, for “t” to be a real number, viy2 must be larger than or equal to 4(1/2)(a)(Δy)
this will keep the root rational.. You can actually use this reasoning to see that any initial velocity in the “y” direction greater than or equal to 4.888386 will work for viy
STEP 2: Find vi in the “x”
direction:
In order to
solve for vix you must pick a value for viy that is ≥4.888386
-Note that the term viy is only in the denominator, so the larger
value for viy the smaller vix will be.
Since a true answer will be obtained from
any value of velocity in the y direction that is greater than or equal to
4.888386, we can just choose our initial y-velocity. For simplicity, we will stick
with 4.888386
STEP 3: Use Pythagorean theorem to solve
for vi

STEP 4: Use Sin property to find the angle










No comments:
Post a Comment